Skip to content
Latta Public School
Menu
Schools
Translate
Search site
Sign in
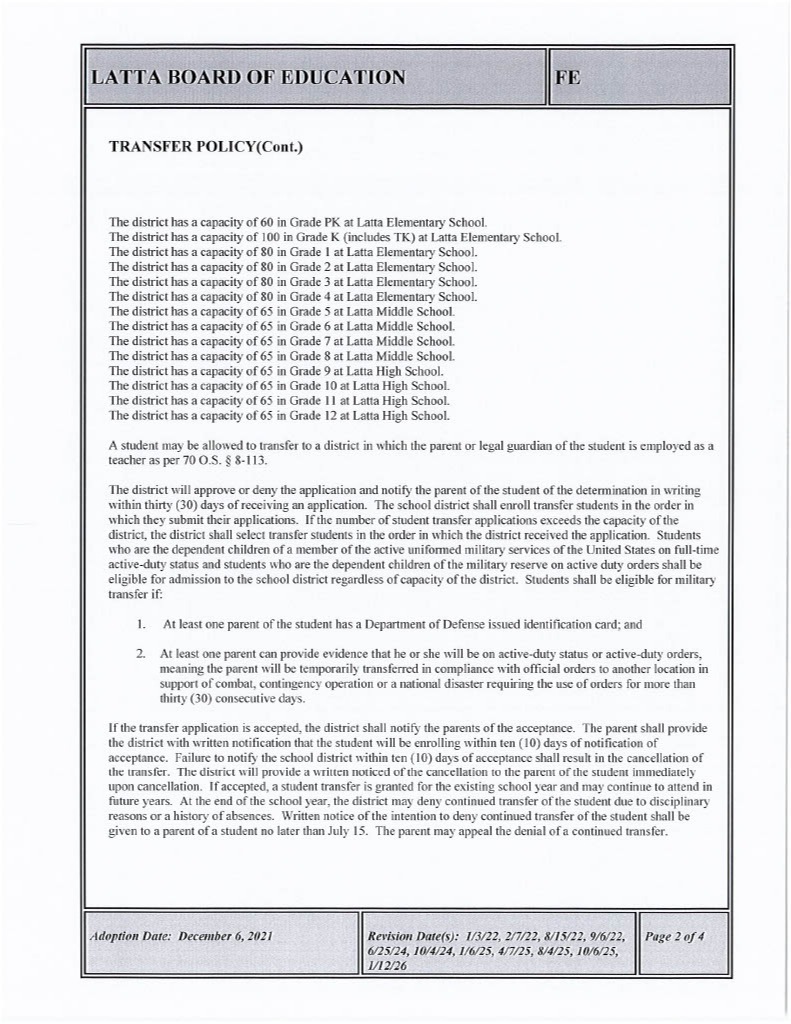
Student Transfers